Sprawdź się
Ułóż przedstawione poniżej wzory półstrukturalne alkoholi w kolejności od najmniej do najbardziej aktywnego w reakcji substytucji nukleofilowej.
2,3-dimetylobutan-1-ol + 1. kwas chlorowodorowy, 2. woda, 3. butan-2-ol, 4. 1-chloro-2,3-dimetylobutan 1. kwas chlorowodorowy, 2. woda, 3. butan-2-ol, 4. 1-chloro-2,3-dimetylobutan + woda
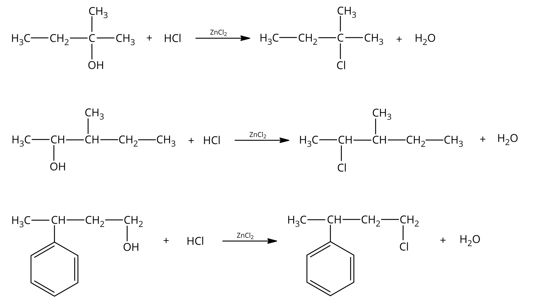
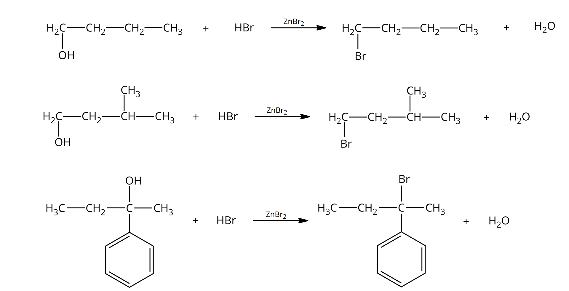
Określ mechanizm, według którego zachodzą reakcje zapisane poniższymi równaniami:






Napisz nazwy systematyczne produktów organicznych powstających w reakcjach chemicznych z udziałem podanych substratów:

Przeprowadzono reakcję alkoholu benzylowego z kwasem chlorowodorowym, zgodnie z poniższym zapisem równania reakcji chemicznej:

Wyjaśnij dlaczego, mimo że alkohol benzylowy jest alkoholem pierwszorzędowym, to reakcja zaszła tak szybko, jakby był alkoholem trzeciorzędowym.
Przeprowadzono reakcję alkoholu benzylowego z kwasem chlorowodorowym. Wyjaśnij dlaczego, mimo że alkohol benzylowy jest alkoholem pierwszorzędowym, to reakcja zaszła tak szybko, jakby był alkoholem trzeciorzędowym.
Napisz nazwy systematyczne produktów organicznych powstających w reakcjach chemicznych z udziałem podanych substratów:

Poniżej przedstawiono mechanizm substytucji nukleofilowej jednocząsteczkowej.
Etap

Etap

Etap

Oblicz liczbę moli cząsteczek produktu organicznego, który powstanie po reakcji nadmiaru kwasu chlorowodorowego z wodnego roztworu butan––olu o stężeniu i gęstości przy wydajności. Wynik podaj z dokładnością do drugiego miejsca po przecinku. Podaj nazwę powstałego produktu organicznego.




