Sprawdź się
Ile różnych podstawników posiada cykloalkan o następującym wzorze grupowym? Wskaż poprawną odpowiedź.

Janek i Tomek dostali na lekcji chemii następujące zadanie: Podaj nazwę systematyczną cykloalkanu o wzorze sumarycznym . Cykloalkan ten posiada najmniejszą możliwą liczbę atomów węgla i dwa podstawniki
. Uczniowie podali nazwę ,-dimetylocyklopropan.
Wyjaśnij, dlaczego Pani nauczycielka poprosiła ich o sprecyzowanie nazwy, mimo iż ich wypowiedzi były identyczne?
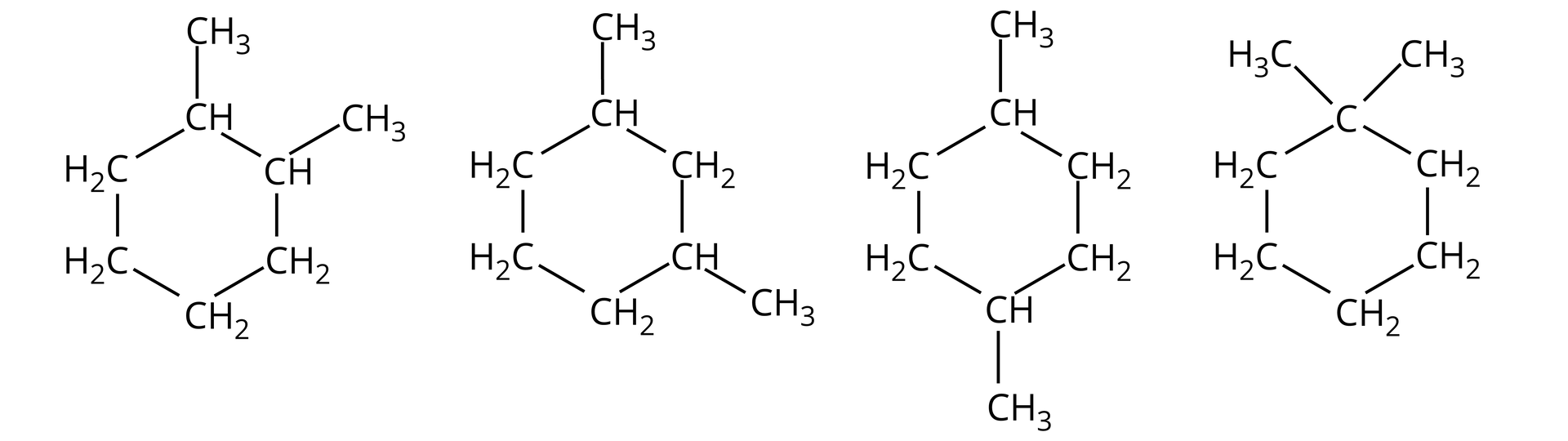
Podaj nazwy cyklicznych izomerów konstytucyjnych – położenia podstawnika dimetylocykloheksanu .
Narysuj wzory grupowe (płaskie) izomerów konstytucyjnych cykloalkanów, które posiadają cztery atomy węgla, oraz podaj ich nazwy systematyczne.
Wzory grupowe sporządź w zeszycie, następnie porównaj je ze wzorami podanymi w odpowiedzi do zadania.
Narysuj wzór grupowy cykloalkanu, o którym wiadomo, że jego liczba atomów węgla jest równa numerowi okresu, w którym położony jest metal występujący w warunkach normalnych, w ciekłym stanie skupienia. Z kolei liczba atomów wodoru równa jest numerowi grupy, w której położony jest cynk. Cykloalkan ten ma tylko drugorzędowe atomy wodoru.
‑etylo‑,‑dimetylononan., 5. węglowodory cykliczne (pierścieniowe), mające między atomami węgla wszystkie wiązania pojedyncze (węglowodory nasycone)., 6. cyfra w nazwie systematycznej związku org., wskazująca atom węgla w cząsteczce tego związku (w łańcuchu bądź pierścieniu), z którym jest związany podstawnik lub atom węgla, połączony z innym atomem węgla wiązaniem nienasyconym., 7. nazwa związku chemicznego, często używana w chemicznym żargonie lub praktyce laboratoryjnej. Cykloalkany - Możliwe odpowiedzi: 1. związki, w których występują atomy związane ze sobą tak, że tworzą jeden lub więcej zamkniętych pierścieni., 2. atom lub ich grupa w miejscu atomu wodoru przy atomie węgla w związkach organicznych., 3. węglowodory o cząsteczkach, w których atomy węgla tworzą otwarte łańcuchy (proste lub rozgałęzione)., 4. nazwa związku chemicznego, która jest złożona całkowicie ze specjalnie stworzonych sylab, liczbowych przedrostków i innych znaków, która jest zgodna z regułami systematycznej nomenklatury zalecanej przez IUPAC, np.
‑etylo‑,‑dimetylononan., 5. węglowodory cykliczne (pierścieniowe), mające między atomami węgla wszystkie wiązania pojedyncze (węglowodory nasycone)., 6. cyfra w nazwie systematycznej związku org., wskazująca atom węgla w cząsteczce tego związku (w łańcuchu bądź pierścieniu), z którym jest związany podstawnik lub atom węgla, połączony z innym atomem węgla wiązaniem nienasyconym., 7. nazwa związku chemicznego, często używana w chemicznym żargonie lub praktyce laboratoryjnej. Nazwa systematyczna - Możliwe odpowiedzi: 1. związki, w których występują atomy związane ze sobą tak, że tworzą jeden lub więcej zamkniętych pierścieni., 2. atom lub ich grupa w miejscu atomu wodoru przy atomie węgla w związkach organicznych., 3. węglowodory o cząsteczkach, w których atomy węgla tworzą otwarte łańcuchy (proste lub rozgałęzione)., 4. nazwa związku chemicznego, która jest złożona całkowicie ze specjalnie stworzonych sylab, liczbowych przedrostków i innych znaków, która jest zgodna z regułami systematycznej nomenklatury zalecanej przez IUPAC, np.
‑etylo‑,‑dimetylononan., 5. węglowodory cykliczne (pierścieniowe), mające między atomami węgla wszystkie wiązania pojedyncze (węglowodory nasycone)., 6. cyfra w nazwie systematycznej związku org., wskazująca atom węgla w cząsteczce tego związku (w łańcuchu bądź pierścieniu), z którym jest związany podstawnik lub atom węgla, połączony z innym atomem węgla wiązaniem nienasyconym., 7. nazwa związku chemicznego, często używana w chemicznym żargonie lub praktyce laboratoryjnej. Nazwa zwyczajowa - Możliwe odpowiedzi: 1. związki, w których występują atomy związane ze sobą tak, że tworzą jeden lub więcej zamkniętych pierścieni., 2. atom lub ich grupa w miejscu atomu wodoru przy atomie węgla w związkach organicznych., 3. węglowodory o cząsteczkach, w których atomy węgla tworzą otwarte łańcuchy (proste lub rozgałęzione)., 4. nazwa związku chemicznego, która jest złożona całkowicie ze specjalnie stworzonych sylab, liczbowych przedrostków i innych znaków, która jest zgodna z regułami systematycznej nomenklatury zalecanej przez IUPAC, np.
‑etylo‑,‑dimetylononan., 5. węglowodory cykliczne (pierścieniowe), mające między atomami węgla wszystkie wiązania pojedyncze (węglowodory nasycone)., 6. cyfra w nazwie systematycznej związku org., wskazująca atom węgla w cząsteczce tego związku (w łańcuchu bądź pierścieniu), z którym jest związany podstawnik lub atom węgla, połączony z innym atomem węgla wiązaniem nienasyconym., 7. nazwa związku chemicznego, często używana w chemicznym żargonie lub praktyce laboratoryjnej. Lokant - Możliwe odpowiedzi: 1. związki, w których występują atomy związane ze sobą tak, że tworzą jeden lub więcej zamkniętych pierścieni., 2. atom lub ich grupa w miejscu atomu wodoru przy atomie węgla w związkach organicznych., 3. węglowodory o cząsteczkach, w których atomy węgla tworzą otwarte łańcuchy (proste lub rozgałęzione)., 4. nazwa związku chemicznego, która jest złożona całkowicie ze specjalnie stworzonych sylab, liczbowych przedrostków i innych znaków, która jest zgodna z regułami systematycznej nomenklatury zalecanej przez IUPAC, np.
‑etylo‑,‑dimetylononan., 5. węglowodory cykliczne (pierścieniowe), mające między atomami węgla wszystkie wiązania pojedyncze (węglowodory nasycone)., 6. cyfra w nazwie systematycznej związku org., wskazująca atom węgla w cząsteczce tego związku (w łańcuchu bądź pierścieniu), z którym jest związany podstawnik lub atom węgla, połączony z innym atomem węgla wiązaniem nienasyconym., 7. nazwa związku chemicznego, często używana w chemicznym żargonie lub praktyce laboratoryjnej. Węglowodory acykliczne - Możliwe odpowiedzi: 1. związki, w których występują atomy związane ze sobą tak, że tworzą jeden lub więcej zamkniętych pierścieni., 2. atom lub ich grupa w miejscu atomu wodoru przy atomie węgla w związkach organicznych., 3. węglowodory o cząsteczkach, w których atomy węgla tworzą otwarte łańcuchy (proste lub rozgałęzione)., 4. nazwa związku chemicznego, która jest złożona całkowicie ze specjalnie stworzonych sylab, liczbowych przedrostków i innych znaków, która jest zgodna z regułami systematycznej nomenklatury zalecanej przez IUPAC, np.
‑etylo‑,‑dimetylononan., 5. węglowodory cykliczne (pierścieniowe), mające między atomami węgla wszystkie wiązania pojedyncze (węglowodory nasycone)., 6. cyfra w nazwie systematycznej związku org., wskazująca atom węgla w cząsteczce tego związku (w łańcuchu bądź pierścieniu), z którym jest związany podstawnik lub atom węgla, połączony z innym atomem węgla wiązaniem nienasyconym., 7. nazwa związku chemicznego, często używana w chemicznym żargonie lub praktyce laboratoryjnej. Podstawnik - Możliwe odpowiedzi: 1. związki, w których występują atomy związane ze sobą tak, że tworzą jeden lub więcej zamkniętych pierścieni., 2. atom lub ich grupa w miejscu atomu wodoru przy atomie węgla w związkach organicznych., 3. węglowodory o cząsteczkach, w których atomy węgla tworzą otwarte łańcuchy (proste lub rozgałęzione)., 4. nazwa związku chemicznego, która jest złożona całkowicie ze specjalnie stworzonych sylab, liczbowych przedrostków i innych znaków, która jest zgodna z regułami systematycznej nomenklatury zalecanej przez IUPAC, np.
‑etylo‑,‑dimetylononan., 5. węglowodory cykliczne (pierścieniowe), mające między atomami węgla wszystkie wiązania pojedyncze (węglowodory nasycone)., 6. cyfra w nazwie systematycznej związku org., wskazująca atom węgla w cząsteczce tego związku (w łańcuchu bądź pierścieniu), z którym jest związany podstawnik lub atom węgla, połączony z innym atomem węgla wiązaniem nienasyconym., 7. nazwa związku chemicznego, często używana w chemicznym żargonie lub praktyce laboratoryjnej.





