Sprawdź się
Zaznacz prawidłowe stwierdzenie. Może być więcej niż jedna poprawna odpowiedź.
- Alkohole nie ulegają dysocjacji elektrolitycznej
- alkohole ulegają dysocjacji elektrolitycznej.
- Odczyn roztworów alkoholi jest obojętny
- Odczyn roztworu alkoholi jest kwasowy
- Cząsteczka alkoholu posiada atom wodoru połączony z silnie elektroujemnym atomem tlenu
- Alkohole posiadają bardzo słaby charakter kwasowy ze względu na wiązanie kowalencyjne spolaryzowane w kierunku atomu tlenu
- Alkohole posiadają bardzo słaby charakter zasadowy ze względu na wiązanie kowalencyjne spolaryzowane w kierunku atomu tlenu
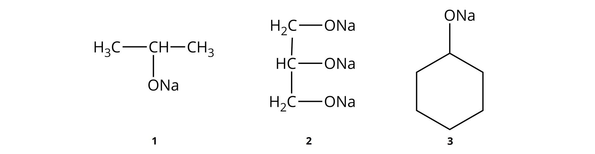
Podaj nazwy systematyczne przedstawionych poniżej alkoholanów.

Przeprowadzono doświadczenie chemiczne przedstawione na schemacie:

Zapisz obserwacje i uzupełnij wnioski.
Probówka 1:
Probówka 2:
Probówka 3:
Odczyn wodnego roztworu propan-2-olanu sodu jest , ponieważ podczas hydrolizy anionu powstają aniony .
Zaprojektuj doświadczenie chemiczne, w którym wykażesz, że heksan–1–ol reaguje z sodem tworząc roztwór o odczynie zasadowym.
Roztwór początkowo 1. malinowo, 2. malinowy, 3. pomarańczowo, 4. pomarańczowy, 5. bezbarwny, 6. czerwony, 7. żółto, 8. żółty, 9. czerwono, 10. niebiesko zabarwił się/zabarwił się na 1. malinowo, 2. malinowy, 3. pomarańczowo, 4. pomarańczowy, 5. bezbarwny, 6. czerwony, 7. żółto, 8. żółty, 9. czerwono, 10. niebiesko.
Uzupełnij obserwacje, wybierając poprawne określenie.
czerwony, malinowo, żółto, niebiesko, czerwono, malinowy, pomarańczowy, żółty, bezbarwny, pomarańczowo
Obserwacje
Roztwór początkowo .......................... zabarwił się/zabarwił się na ...........................
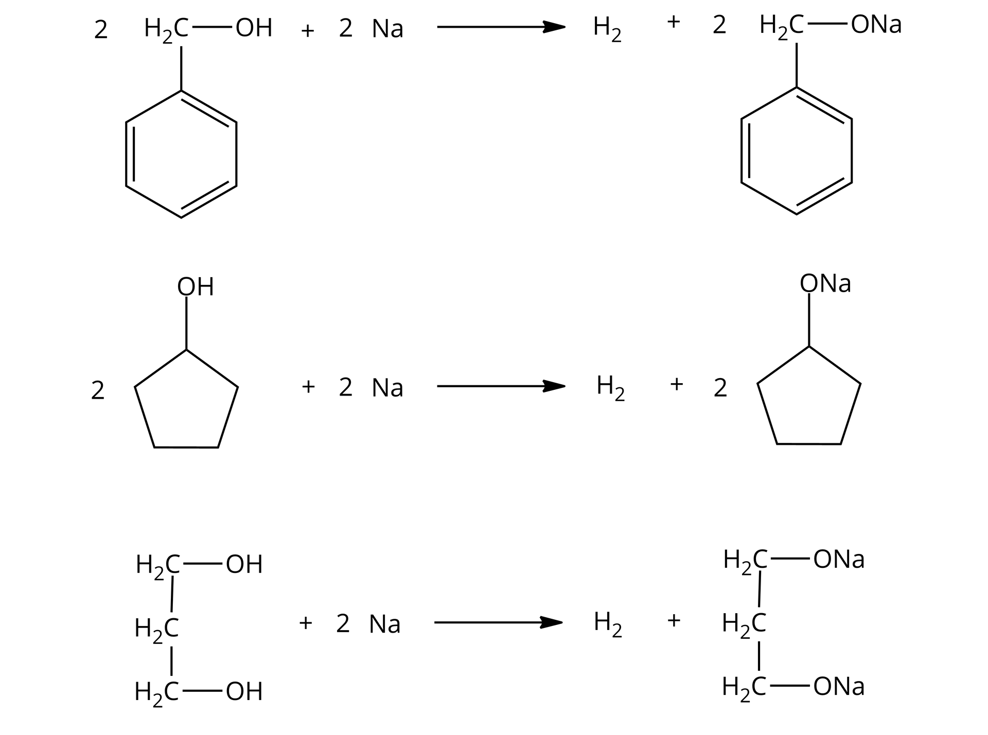
Poniżej podano elementy równań reakcji chemicznych, z których należy ułożyć prawidłowe równania reakcji wiedząc, że substratem pierwszej reakcji jest związek aromatyczny, zaś substratem ostatniej reakcji związek niecykliczny.
Zapisz nazwy otrzymanych alkoholanów.
Poniżej podano elementy równań reakcji chemicznych, z których należy ułożyć prawidłowe równania reakcji prowadzące do odpowiednich alkoholanów.
b) cyklopentanol 1. propan-1,3-diol, 2. cyklopentanolan sodu, 3. sód, 4. propano-1,3-diolan sodu, 5. wodór, 6. fenylometanol 1. propan-1,3-diol, 2. cyklopentanolan sodu, 3. sód, 4. propano-1,3-diolan sodu, 5. wodór, 6. fenylometanol wodór
c) 1. propan-1,3-diol, 2. cyklopentanolan sodu, 3. sód, 4. propano-1,3-diolan sodu, 5. wodór, 6. fenylometanol dwa ekwiwalenty sodu 1. propan-1,3-diol, 2. cyklopentanolan sodu, 3. sód, 4. propano-1,3-diolan sodu, 5. wodór, 6. fenylometanol wodór
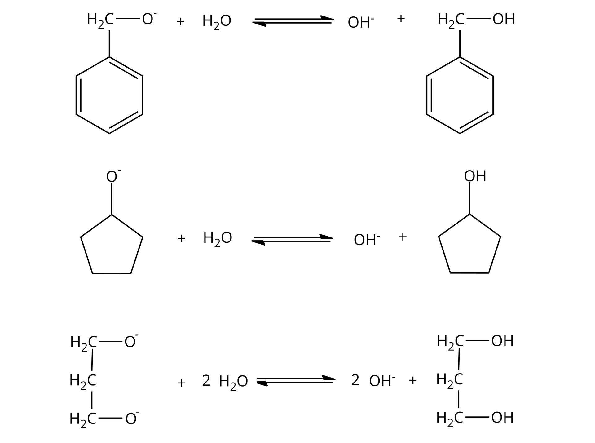
Poniżej podano elementy równań reakcji chemicznych w formie jonowej skróconej, z których należy ułożyć prawidłowe równania reakcji wiedząc, że w pierwszej reakcji bierze udział związek aromatyczny, zaś w ostatniej reakcji bierze udział związek niecykliczny.
Zapisz słownie powyższe równania reakcji chemicznych.
Poniżej podano nazwy indywiduów chemicznych, z których należy ułożyć prawidłowe równania reakcji.
b) anion cyklopentanolanowy 1. propano-1,3-diol, 2. cyklopentanol, 3. anion hydroksylowy, 4. anion fenylometanolanowy, 5. cząsteczka wody, 6. anion propan-1,3-diolanowy 1. propano-1,3-diol, 2. cyklopentanol, 3. anion hydroksylowy, 4. anion fenylometanolanowy, 5. cząsteczka wody, 6. anion propan-1,3-diolanowy anion hydroksylowy
c) 1. propano-1,3-diol, 2. cyklopentanol, 3. anion hydroksylowy, 4. anion fenylometanolanowy, 5. cząsteczka wody, 6. anion propan-1,3-diolanowy dwie cząsteczki wody 1. propano-1,3-diol, 2. cyklopentanol, 3. anion hydroksylowy, 4. anion fenylometanolanowy, 5. cząsteczka wody, 6. anion propan-1,3-diolanowy anion hydroksylowy
Wiedząc, że alkohole reagują w podobny sposób z potasem jak z sodem, wybierz (wpisując numery 1–3) z podanych poniżej zapisów równań reakcji chemicznych te, które następując po sobie pozwolą na realizację ciągu reakcji:
Wiedząc, że alkohole reagują w podobny sposób z potasem jak z sodem, podaj, jakich regentów należy użyć, aby przeprowadzić następujący ciąg reakcji:
Oblicz stężenie procentowe alkoholowego roztworu sodu otrzymanego po dodaniu sodu do etanolu o gęstości . Wynik podaj z dokładnością do dwóch miejsc po przecinku.







