Wartość bezwzględna liczby
3. Własności wartości bezwzględnej
Znasz już definicję algebraiczną wartości bezwzględnej liczby . Wiesz też, że wartość bezwzględna liczby jest odległością tej liczby od liczby zero na osi liczbowej.
Jest zatem zawsze liczbą nieujemną.
To właśnie jedna z własności wartości bezwzględnej. W tym materiale poznasz inne własności modułu i zobaczysz jak można je wykorzystywać np. przy rozwiązywaniu zadań typu „uzasadnij, że ...”.
Poznasz podstawowe własności wartości bezwzględnej liczby rzeczywistej .
Korzystając z własności modułu, uprościsz wyrażenia z wartością bezwzględną.
Zastosujesz wartość bezwzględną liczby podczas dowodzenia twierdzeń.
Przypomnijmy najpierw definicję algebraiczną wartości bezwzględniej liczby rzeczywistej .
Zapoznaj się z przykładami. Jakie własności wartości bezwzględnej możesz zauważyć? Porównaj swoje wnioski z wyróżnionymi własnościami.
Oblicz.
Zauważ, że w każdym z przypadków otrzymujemy liczbę nieujemną.
Oblicz wartość wyrażenia
.
Obliczamy najpierw wartości modułów, które pojawiły się w przykładzie.
Korzystamy z definicji wartości bezwzględnej liczby rzeczywistej.
Następnie, pamiętając o kolejności wykonywania działań, obliczamy wartość wyrażenia .
Oblicz wartość wyrażenia
.
Obliczamy najpierw wartości modułów, które pojawiły się w przykładzie.
Ponownie korzystamy z definicji wartości bezwzględnej liczby rzeczywistej.
Ostatnią wartość bezwzględną możemy obliczyć dwoma sposobami.
I sposób
Doprowadzamy wyrażenie pod modułem do najprostszej postaci i określamy jego znak, a następnie opuszczamy symbol wartości bezwzględnej.

II sposób
Określamy znak wyrażenia pod modułem i opuszczamy symbol wartości bezwzględnej.

Teraz, pamiętając o kolejności wykonywania działań oraz zasadach dodawania i odejmowania pierwiastków, obliczamy wartość wyrażenia .
Pierwiastki, które maja taka samą liczbę podpierwiastkową oznaczono takim samym kolorem.
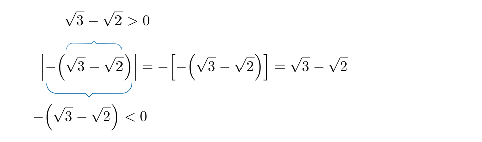
Porównaj liczby i .
Zauważ, że i , to liczby przeciwne.
Zwróć uwagę, że liczby w trzeciej i czwartej kolumnie są takie same.
A zatem wartości bezwzględne liczb przeciwnych są równe.
Przeanalizuj przykłady. Skorzystaj ze znanych Ci własności pierwiastków
, dla ,
, dla .
Na pewno widzisz, że w powyższych przykładach otrzymany wynik jest zawsze liczbą dodatnią. Przykłady te obrazują kolejną własność wartości bezwzględnej.
Jeśli liczba pod pierwiastkiem jest kwadratem pewnego wyrażenia , to pierwiastek z liczby jest wartością bezwzględną z liczby .
Oblicz wartość wyrażenia , korzystając z powyższej własności.
Korzystając z własności: , otrzymujemy:
Wyrażenie w module jest ujemne (sprawdź to), a zatem korzystając z algebraicznej definicji własności bezwzględnej dla , możemy zapisać:
A zatem:
Wartość bezwzględna iloczynu liczbWartość bezwzględna iloczynu liczb i jest równa iloczynowi wartości bezwzględnych liczb i .
Znajdź liczbę , spełniającą warunek .
Możemy tu skorzystać z własności modułu przedstawionej powyżej.
W liczbie pod modułem wyłączamy przed nawias liczbę .
Korzystając z powyższej własności zapisujemy moduł z iloczynu dwóch liczb, jako iloczyn dwóch modułów.
Obliczamy wartość bezwzględną liczby .
Dzielimy obie strony równania przez .
Otrzymujemy wyrażenie
Wiesz, że:
lub
Stąd:
lub
A zatem:
lub .
Wartość bezwzględna ilorazu liczbWartość bezwzględna ilorazu liczb i jest równa ilorazowi wartości bezwzględnych liczb i .
Zbierzmy w jednym miejscu poznane własności wartości bezwzględnej.
,
,
,
, ,
, ,
Ilustracja interaktywna
Zapoznaj się z przykładem pokazującym zastosowanie wartości bezwzględnej w dowodach.
Udowodnij, że liczba jest wymierna.
Zestaw ćwiczeń interaktywnych
Oblicz wartość wyrażenia . Przeciągnij prawidłową odpowiedź.
Udowodnij równość .
Zaznacz prawidłową odpowiedź. Możliwe odpowiedzi: 1. minus, trzy, 2. dwanaście, 3. trzy, 4. cztery
Zaznacz prawidłową odpowiedź. Możliwe odpowiedzi: 1. pierwiastek kwadratowy z dwa koniec pierwiastka, minus, pięć, 2. minus, pierwiastek kwadratowy z dwa koniec pierwiastka, minus, siedem, 3. pięć pierwiastek kwadratowy z dwa koniec pierwiastka, minus, siedem, 4. trzy pierwiastek kwadratowy z dwa koniec pierwiastka, minus, siedem, 5. minus, trzy pierwiastek kwadratowy z dwa koniec pierwiastka, minus, siedem
Słownik
iloczyn wartości bezwzględnych liczb i
iloraz wartości bezwzględnych liczb i
wartość bezwzględna liczby rzeczywistej