Wielomiany
2. Dodawanie i odejmowanie wielomianów
Wielomiany jednej zmiennej są zapisywane za pomocą odpowiednich wyrażeń algebraicznych. W matematyce wyższej tworzą strukturę zwaną pierścieniem - mają wiele własności analogicznych do odpowiednich własności liczb całkowitych (które również tworzą strukturę pierścienia) . Te pojęcia wykraczają poza program nauczania matematyki w szkole, ale warto o tym pamiętać i szukać analogii między liczbami całkowitymi i wielomianami.
W zbiorze liczb całkowitych mamy zdefiniowane dwa podstawowe działania – dodawanie i mnożenie. Mają one pewne własności. Dla dodawania są to:
przemienność: ,
łączność: ,
istnienie elementu neutralnego dla dodawania, czyli zera: .
Dla mnożenia:
przemienność ,
łączność ,
istnienie elementu neutralnego, czyli jedynki .
Zachodzą też związki pomiędzy dodawaniem i mnożeniem:
prawo rozdzielności , .
Działania na wielomianach mają analogiczne własności. Teraz je poznamy.
Znajdziesz wielomian, będący sumą/różnicą danych wielomianów.
Odkryjesz i zredagujesz własność opisującą związek między stopniami dwóch wybranych wielomianów i stopniem wielomianu uzyskanego jako ich suma bądź różnica.
Każdy wielomian jest sumą pewnych jednomianów (lub jednomianem).
Zatem suma dwóch wielomianów również będzie wielomianem.
Dane są wielomiany i .
Sumą wielomianów i nazywamy taki wielomian , że dla każdej liczby rzeczywistej spełniony jest warunek
Różnicą wielomianów i nazywamy taki wielomian , że dla każdej liczby rzeczywistej spełniony jest warunek
Sumę wielomianów i możemy zatem obliczyć, dodając współczynniki obu wielomianów stojące przy niewiadomych o tych samych potęgach, czyli sumując współczynniki wyrazów podobnychwyrazów podobnych.
Analogicznie, obliczając różnicę wielomianów i , można odjąć odpowiednie współczynniki przy tych samych potęgach niewiadomej.
Jeśli w którymś z wielomianów występuje zmienna w danej potędze, natomiast nie występuje ona w tej potędze w drugim wielomianie, to przyjmujemy, że zmienna jest w tej potędze w obu wielomianach, jednak tam, gdzie pominięto jej zapis, jej współczynnik wynosi zero, np.:
możemy równoważnie zapisać:
Ustalmy, jakiego stopniastopnia mogą być wielomiany oraz .
Stopień sumy dwóch wielomianów jest mniejszy lub równy najwyższemu z ich stopni, co oznaczamy lub wielomian jest wielomianem zerowym.
Stopień różnicy dwóch wielomianów jest mniejszy lub równy najwyższemu z ich stopni, co oznaczamy lub wielomian jest wielomianem zerowym.
Suma wielomianu trzeciego stopnia i wielomianu piątego stopnia będzie na pewno wielomianem piątego stopnia.
np.: , . Wtedy .
Suma dwóch wielomianów stopnia piątego może być wielomianem stopnia piątego lub mniejszego, może też być wielomianem zerowymwielomianem zerowym.
np.: , . Wtedy (wielomian piątego stopnia).
np.: , . Wtedy (wielomian czwartego stopnia).
np.: , . Wtedy (wielomian stopnia zerowego).
np.: , . Wtedy (wielomian zerowy).
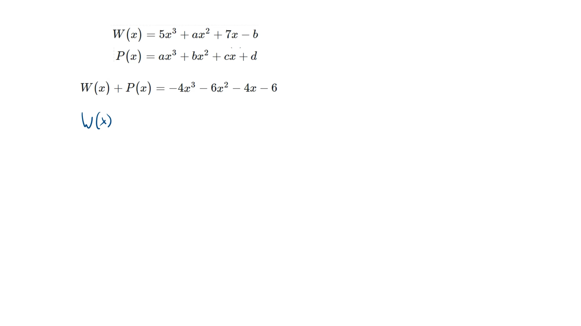
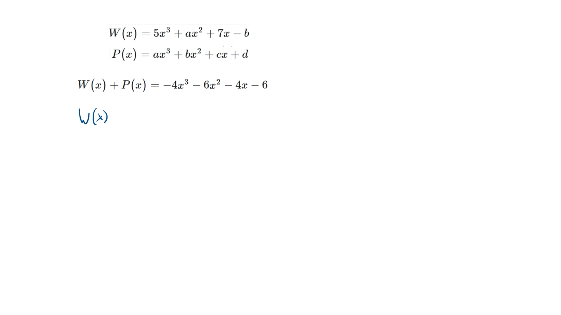
Dane są wielomiany oraz . Wiadomo, że ich suma to wielomian .
Film pokazuje, jak wyznaczyć wartości parametrów , , , .
Animacja multimedialna
Przeanalizuj animację dotyczącą dodawania wielomianów.

Film dostępny pod adresem /preview/resource/R1M37JSSV5JPN
Film nawiązujący do treści lekcji dotyczącej sumy i różnicy wielomianów.
Na podstawie obejrzanej animacji przeanalizuj w analogiczny sposób odejmowanie wielomianów i .
Uzupełnij następujące własności:
Jeżeli , to ...
Jeżeli , to ...
Jeżeli , to ...
Słownik
jednomiany tej samej zmiennej występujące w tej samej potędze, np.: i
wielomian , taki że dla każdej liczby rzeczywistej spełniony jest warunek
dla wielomianu (gdy ) to liczba (najwyższy wykładnik zmiennej); stopień wielomianu, który jest stałą niezerową, wynosi ; wielomian zerowy nie ma określonego stopnia
wielomian , taki że dla każdej liczby rzeczywistej spełniony jest warunek
wielomian określony wzorem ; wielomian ten nie ma określonego stopnia
iloczyn stałej (liczby) i zmiennej podniesionej do potęgi o wykładniku naturalnym
