Przeczytaj
Przypomnijmy, że dla liczb i (przy odpowiednich założeniach) rozważamy podstawowe działania:

Warto zauważyć, że odejmowanie można zastąpić dodawaniem, przyjmując . Podobnie użycie zamiast oraz w miejsce prowadzi nas do wniosku, że warto skierować naszą uwagę na własności dodawania, mnożenia i potęgowania. Poczyniona tu obserwacja pozwala między innymi zamieniać kolejność dodawanych jednomianów w sumie algebraicznejsumie algebraicznej.
Wyrażenie algebraiczne to liczba, litera lub liczby oraz zmienne połączone znakami działań i ewentualnie nawiasami .
Wyrażenia algebraiczne to między innymi:
Podane powyżej przykłady wydają się dość skomplikowane. Tym bardziej, gdy chcemy je zapisać słowami. Na szczęście istnieje bardzo użyteczna, choć nieco nieformalna zasada: Czytamy przeciwnie do kolejności wykonywania działań
.
Kliknij w przycisk, aby zobaczyć, jak się czyta poniższe wyrażenia.
Ze wszystkich wyrażeń algebraicznych wyróżniamy jednomiany, czyli te wyrażenia, które dają się przedstawić w postaci iloczynu liczb oraz zmiennych.
Jednomianami są wyrażenia: , ,
Wyrażenia, które nie są jednominami: ,
Jednomiany nazywamy podobnymi, gdy różnią się jedynie liczbą, a więc gdy mają te same zmienne w tych samych potęgach. Podobnymi jednomianami są więc i , lecz nie i .
Przez redukcję wyrazów podobnych rozumiemy dodawanie wyrazów podobnych (np. jednomianach podobnychjednomianach podobnych), aby uprościć dane wyrażenie.
Wykonamy teraz redukcję wyrazów podobnych w wyrażeniu algebraicznym .
Dodając wyrazy oznaczone jednakowym kolorem otrzymujemy: .
Sumę jednomianów nazywamy sumą algebraicznąsumą algebraiczną. Sumy algebraiczne możemy dodawać, odejmować, mnożyć.
Dane są sumy algebraiczne: oraz
Wykonamy następujące działania: ; ; .
Rozwiązanie
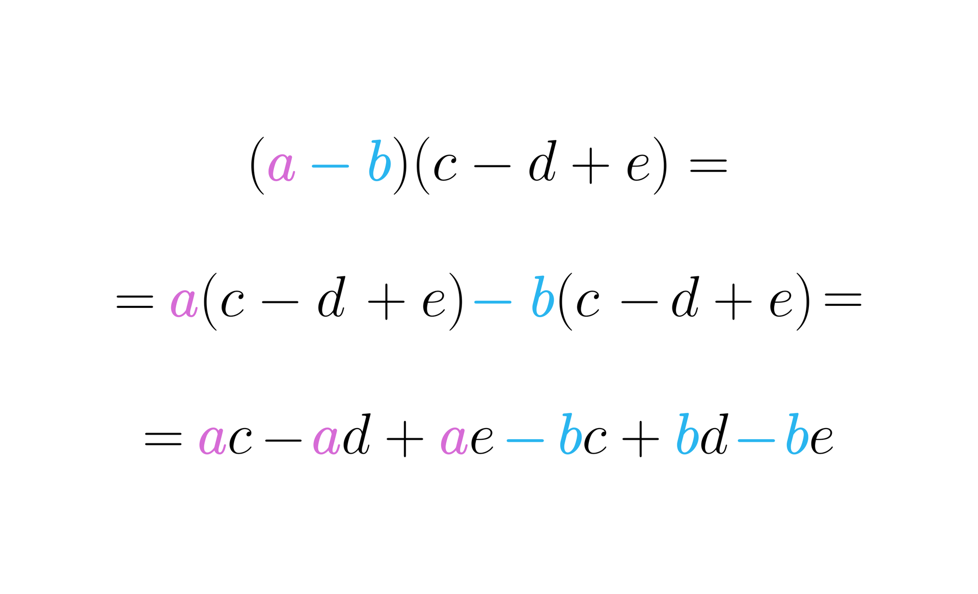
Poniżej przypomnimy jak mnożyć sumy algebraiczne. Każdy składnik pierwszej sumy mnożymy kolejno przez każdy składnik drugiej sumy i otrzymane wyrażenia dodajemy.
Rozważmy prosty przykład.

Wykorzystajmy teraz posiadaną wiedzę w kilku elementarnych przykładach.
Cegła waży kilogram i pół cegły. Ustalimy, ile waży cegła.
Rozwiązanie:
Aby odpowiedzieć na to pytanie przyjmujemy, że cegła waży kilogramów. Otrzymujemy wówczas równanie:
Po elementarnych przekształceniach otrzymujemy: .
Cegła waży .
W szklance znajduje się wody. Wyznaczymy teraz ogólny wzór na ilość () soli, którą należy dodać, by otrzymać roztwór – procentowy soli.
Rozwiązanie
Jeśli dołożymy soli,to procentowa zawartość soli będzie wynosić:
Przekształcając mamy:
Ostatecznie, chcąc otrzymać roztwór soli o stężeniu – procent powinniśmy dodać dokładnie soli.
Wszyscy pracownicy pewnej firmy wykonują pewne zadanie w ciągu godzin minut. Gdyby pracowników było o trzech więcej, to wykonywaliby to zadanie w ciągu godzin minut. Wyznaczymy liczbę pracowników tej firmy.
Rozwiązanie:
Niech oznacza liczbę pracowników firmy. Łatwo zauważyć, że jeden pracownik na samodzielne wykonanie zadanej pracy potrzebowałby razy więcej niż – osobowa załoga lub też razy więcej niż – osobowa ekipa. Stąd otrzymujemy równanie
,
której rozwiązanie jest odpowiedzią na zadane powyżej polecenie.
Słownik
jednomiany różniące się jedynie współczynnikami liczbowymi
suma jednomianów