Przeczytaj
Cukry
Cukry, inaczej węglowodany, to związki chemiczne, w których na każdy atom węgla przypadają dwa atomy wodoru i jeden atom tlenu. W dokładnym znaczeniu są aldehydami lub ketonami, zawierającymi w swojej strukturze grupy hydroksylowe przy większości atomów węgla. Można je podzielić m.in. ze względu na liczbę atomów węgla, jak również ze względu na charakter chemiczny.
Cukry proste
Pod względem chemicznym monosacharydy to polihydroksyaldehydy (aldozyaldozy) lub polihydroksyketony (ketozyketozy). Z uwagi na liczbę atomów węgla w cząsteczce, cukry proste (monosacharydy) można podzielić na: tirozy (trzy atomy węgla), tetrozy (cztery atomy węgla), pentozy (pięć atomów węgla) oraz heksozy (sześć atomów węgla).
Poniższa grafika przedstawia wzory wybranych monosacharydów.

Cukry złożone
Disacharydy
Powstają w wyniku połączenia się dwóch monosacharydów wiązaniem O‑glikozydowym. Przykładem tej grupy jest sacharoza (cukier spożywczy), maltoza (wykorzystywana w środkach słodzących), ale również laktoza, która występuje w mleku. Disacharydy hydrolizują na monosacharydy pod wpływem kwasów i temperatury. Mogą także ulegać hydrolizie w wyniku działania enzymów (glikozydaz), które rozrywają wiązania O‑glikozydowe, obecne w cząsteczkach disacharydów.



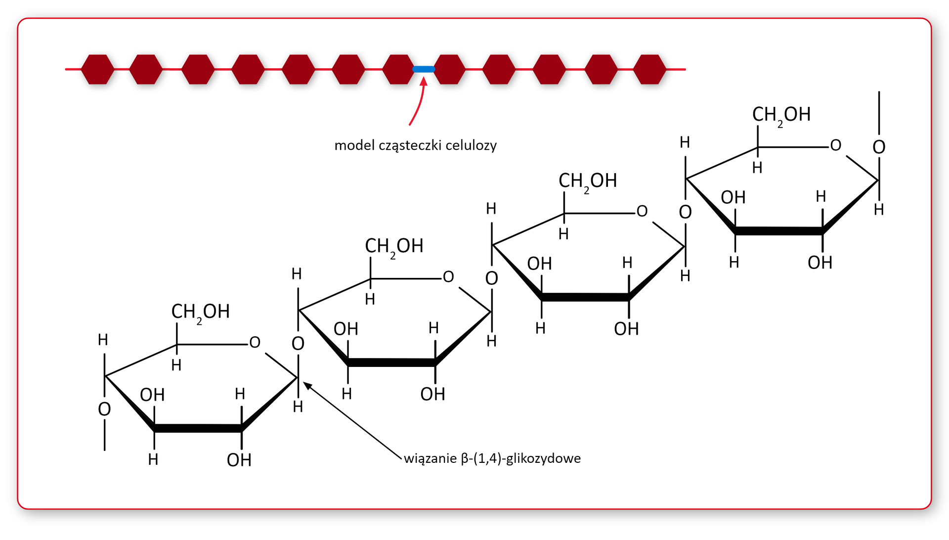
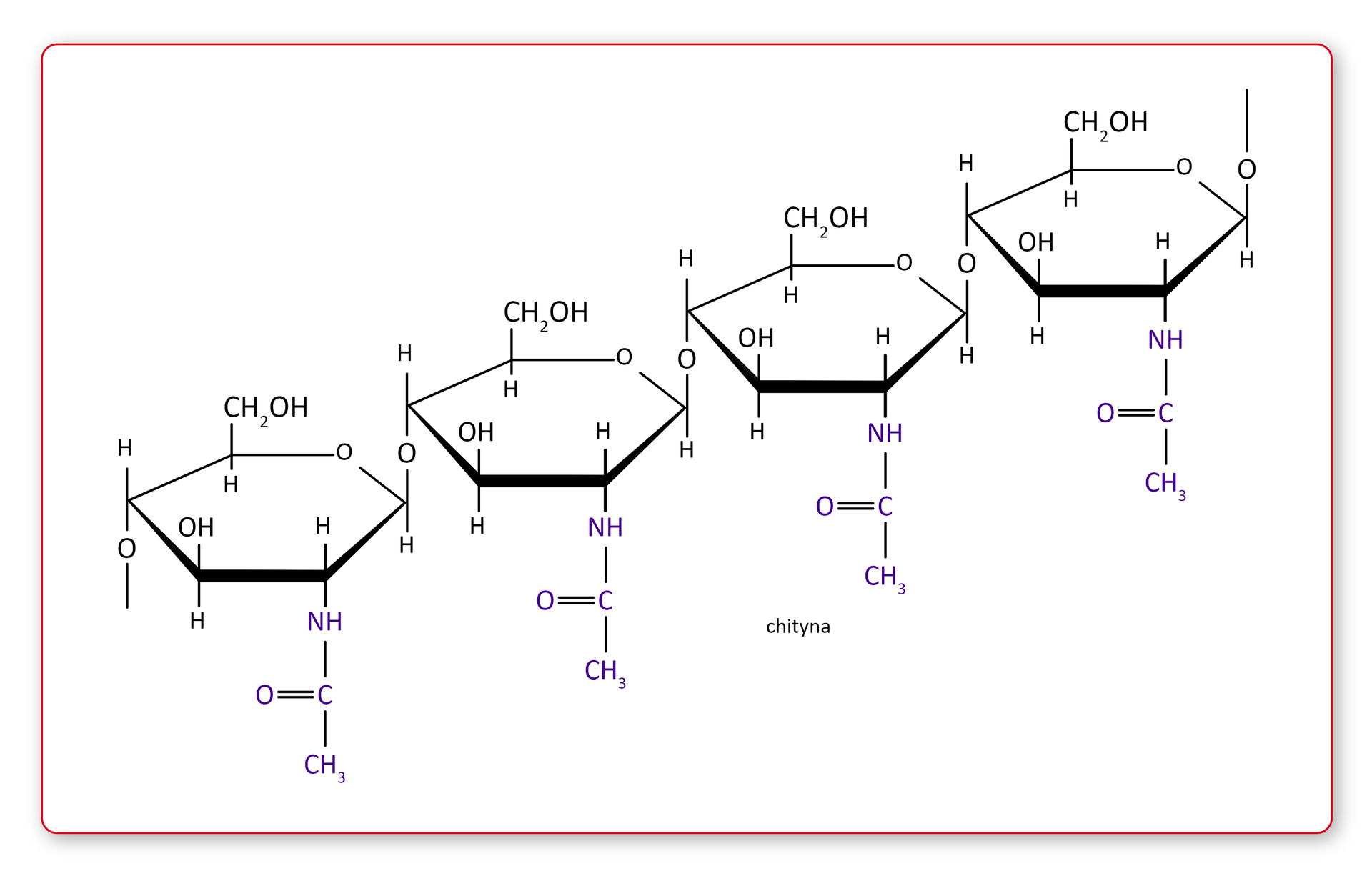
Polisacharydy
PolisacharydyPolisacharydy możemy podzielić na hetero- i homopolisacharydy. Homopolisacharydami nazywamy cząsteczki, które są zbudowane wyłącznie z reszt tego samego rodzaju monosacharydu. Jest nimi m.in. amyloza, amylopektyna, chityna oraz celuloza. Heteropolisacharydy natomiast zbudowane są z więcej niż jednego rodzaju reszt monosacharydowych i do nich możemy zaliczyć np. kwas hialuronowy i heparynę.





MonosacharydyMonosacharydy to cukry niehydrolizujące. DisacharydyDisacharydy i polisacharydy należą do cukrów hydrolizujących, co oznacza, że w odpowiednich warunkach, pod wpływem wody, mogą się rozpadać na cukry proste. Cukry złożone (cukry hydrolizujące) zbudowane są z dwóch lub więcej jednostek monosacharydowych, połączonych wiązaniami O-glikozydowymi.
Słownik
cukry proste, które w swojej budowie zawierają grupę aldehydową ; do aldoz należy m.in: glukoza, mannoza, galaktoza
cukry proste, które w swojej budowie zawierają grupę ketonową ; do ketoz należy m.in: rybuloza, fruktoza, wielocukry, cukry złożone, polimery liniowe lub rozgałęzione, zbudowane z reszt monosacharydów i ich pochodnych, połączonych wiązaniem O-glikozydowym
wielocukry; cukry złożone; polimery liniowe lub rozgałęzione, zbudowane z reszt monosacharydów i ich pochodnych, połączonych wiązaniem O‑glikozydowym
dwucukry, biozy, sacharydy zbudowane z dwóch cząsteczek monosacharydów, połączonych wiązaniem O-glikozydowym
monocukry, cukry proste, monozy, polihydroksylowe aldehydy (aldozy) i ketony (ketozy) o wzorze sumarycznym , które podczas hydrolizy nie ulegają rozkładowi na prostsze cząsteczki sacharydowe
wiąże anomeryczny atom węgla cząsteczki monosacharydu (atom węgla wchodzący w skład grupy aldehydowej lub ketonowej cząsteczki monosacharydu) z grupą hydroksylową drugiej cząsteczki monosacharydu (w przypadku sacharydów) lub alkoholem (w przypadku glikozydów roślinnych). Wiązanie O-glikozydowe występuje w dwóch odmianach izomerycznych: alfa i beta. Dzięki oddziaływaniu anomerycznego atomu węgla cząsteczki monosacharydu z grupą hydroksylową, można wyróżnić w strukturze oligosacharydów wiązanie O-glikozydowe, występujące najczęściej przy czwartym lub szóstym atomie węgla drugiej cząsteczki monosacharydu, które tworzy wiązania alfa‑1,4, beta‑1,4, alfa‑1,6 itp.
Bibliografia
Encyklopedia PWN
Krzeczkowska M., Loch J., Mizera A., Chemia. Repetytorium. Liceum - poziom podstawowy i rozszerzony, Warszawa - Bielsko‑Biała 2010.