Sprawdź się

Podaj zwyczajowe nazwy związków, przedstawionych na powyższych rysunkach.
Podaj zwyczajowe nazwy związków opisanych na rysunkach.
Podaj nazwy zwyczajowe przedstawionych na poniższych rysunkach disacharydów oraz cukrów prostych, wchodzących w ich skład.

Cukry proste powstają w przyrodzie w procesie fotosyntezy, natomiast organizmy żywe czerpią z nich energię podczas spalania w komórkach. Zapisz sumaryczne równania reakcji, które obrazują syntezę glukozy w czasie fotosyntezy, oraz równanie reakcji jej spalania w czasie oddychania komórkowego.
Uzupełnij poniższą tabelę, wstawiając w odpowiednie miejsca kafelki, zawierające informacje na temat właściwości i budowy wybranych disacharydów.
laktoza, maltoza, celobioza, sacharoza, fruktoza + galaktoza, galaktoza + galaktoza, fruktoza + fruktoza
| Disacharyd | Monosacharyd | Czy wykazuje właściwości redukujące? |
|---|---|---|
| laktoza | ||
| maltoza | ||
| celobioza | ||
| sacharoza |
Sacharoza zbudowana jest z:
- dwóch ketoheksoz, które nie wykazują właściwości redukujących.
- dwóch aldoheksoz, które połączyły się wiązaniem glikozydowym; utworzenie mostka tlenowego z udziałem obu grup –OH, przy asymetrycznym atomie węgla C–1.
- ketoheksozy i aldoheksozy, które połączyły się wiązaniem glikozydowym, utworzonym w oparciu o wykorzystanie grupy –OH przy C–1 aldozy i grupy –OH przy C–2 ketozy.
- pentozy i heksozy, które nie wykazują właściwości redukujących.
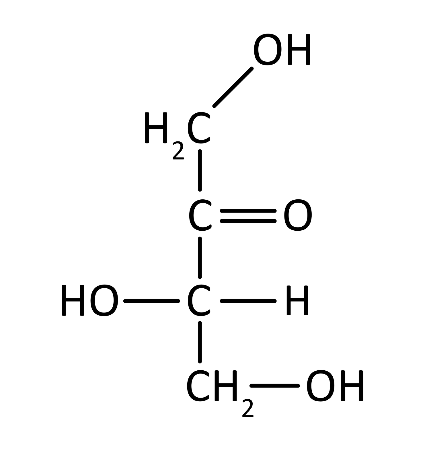
Poniżej podano wzór erytrulozy oraz cechy charakterystyczne, z których część opisuje ten związek. Wpisz w tabele odpowiedzi „P” (prawda) lub „F” (fałsz), odnoszące się do właściwości L‑erytrulozy.
Zapoznaj się z opisem wzoru erytrulozy oraz cech charakterystycznych, z których część opisuje ten związek. Wpisz w tabelę odpowiedzi „P” (prawda) lub „F” (fałsz), odnoszące się do właściwości L‑erytrulozy.
