Strefa wyzwań
Ćwiczenie 1
Ćwiczenie 2
Ćwiczenie 3
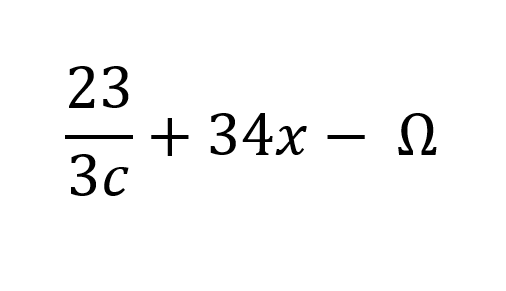
Zapisz w dokumencie tekstowym zaprezentowane równanie.

Ćwiczenie 4
Ćwiczenie 5
Popraw dokument tak, by biogram znalazł się wewnątrz tekstu, nie pod nim.
Tadeusz Boy‑Żeleński – „Plotka o «Weselu» Wyspiańskiego” – biogram
Plik DOCX o rozmiarze 22.39 KB w języku polskim
Tadeusz Boy‑Żeleński – „Plotka o «Weselu» Wyspiańskiego” – biogram
Plik ODT o rozmiarze 14.93 KB w języku polskim
Ćwiczenie 6
Wstaw do dokumentu pole tekstowe. Ustaw jego wysokość na 7,5 cm, a szerokość na 11 cm. Wpisz dowolny tekst. Następnie wypełnij pole kolorem jasnoniebieskim. Zmień kontur na niebieski o grubości 1,5 punktu (0,05 cm).
Ćwiczenie 7
Popraw równanie zamieszczone w pliku.
równanie 2
Plik DOCX o rozmiarze 12.44 KB w języku polskim
równanie 2
Plik ODT o rozmiarze 5.15 KB w języku polskim
Ćwiczenie 8
Popraw tekst definicji równania wymiernego.
Równanie wymierne
Plik DOCX o rozmiarze 13.17 KB w języku polskim
Równanie wymierne
Plik ODT o rozmiarze 5.29 KB w języku polskim

